Oznámenie o prerušení distribúcie elektrickej energie 13.04.2026

Oznámenie o prerušení distribúcie elektrickej energie 13.04.2026

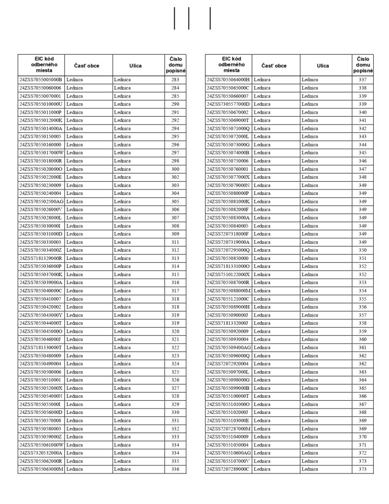
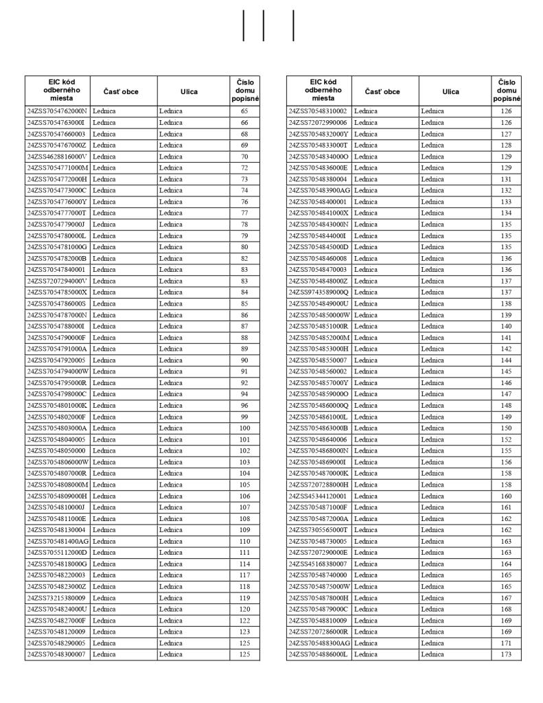
Oznámenie o prerušení distribúcie elektrickej energie dňa 13.04.2026 a zoznam odberových miest, kde bude obmedzená distribúcia.

Dátum vloženia: 16. 3. 2026 12:54
Dátum poslednej aktualizácie: 16. 3. 2026 12:55

Novinky

Dokument k 760. výročiu prvej písomnej zmienky o obci

Aktuálne počasie

dnes, streda 1. 4. 2026
zamračené 7 °C -2 °C
zamračené, dosť čerstvý severovýchodný vietor
vietorSV, 6.8m/s
tlak1018hPa
vlhkosť55%

Fotogaléria

Náhodná fotogaléria

Návštevnosť

Návštevnosť:

ONLINE:0
DNES:42
TÝŽDEŇ:251
CELKOM:435043

Zaujímavé informácie

Mobilná aplikácia

Sledujte informácie z nášho webu v mobilnej aplikácii - V OBRAZE.

Kalendár

Apríl2026
Po Ut St Št Pia So Ne
30 31 1 2 3 4 5
6 7 8 9 10 11 12
13 14 15 16 17 18 19
20 21 22 23 24 25 26
27 28 29 30 1 2 3

Geoportál obce

geoportál obce

Virtuálny cintorín

Kontakt

Obecný úrad
Lednica 232
020 63 Lednica

tel.: 042/46 97 045
email: lednica@obeclednica.sk