Oznámenie o prerušení distribúcie elektrickej energie 19.01.2026

Oznámenie o prerušení distribúcie elektrickej energie 19.01.2026

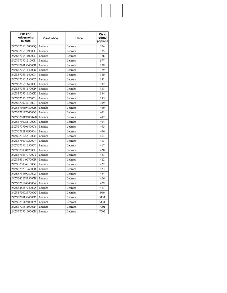
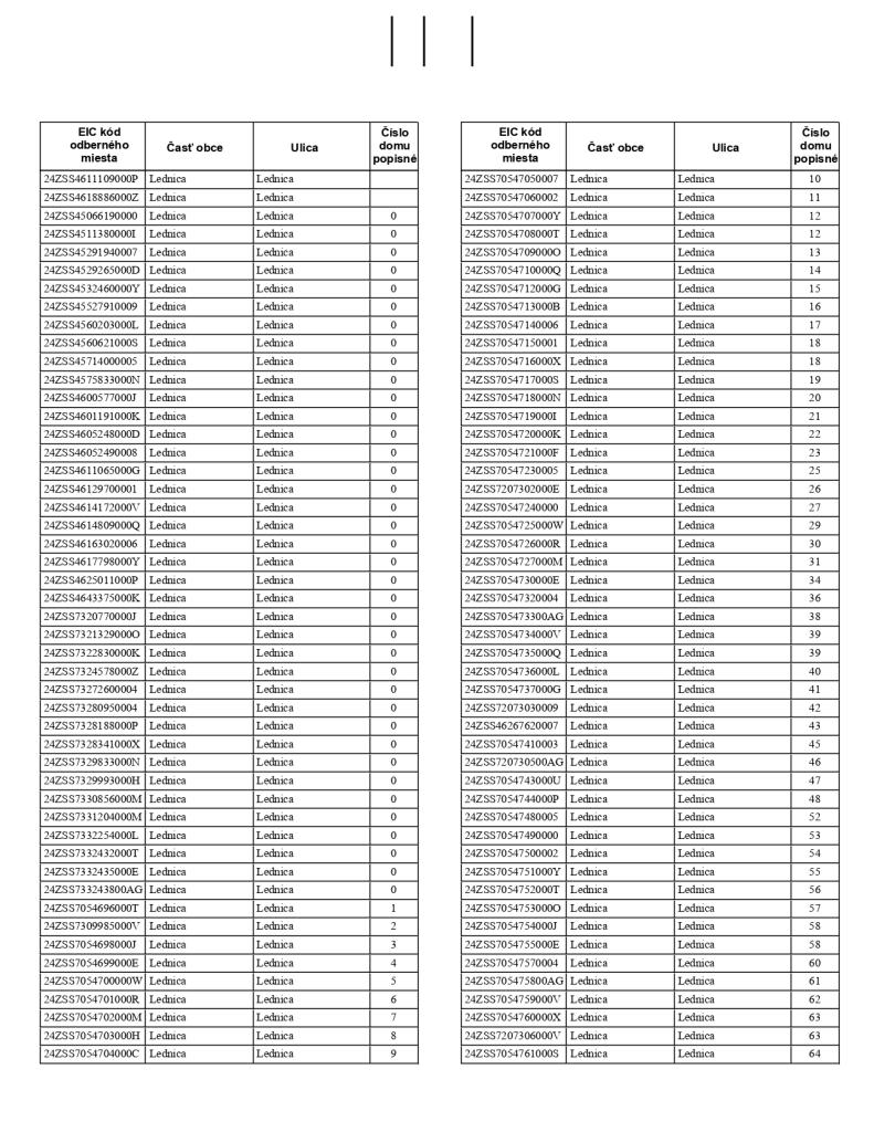
Oznámenie o prerušení distribúcie elektrickej energie dňa 19.01.2026 a zoznam odberových miest, kde bude obmedzená distribúcia.

Dátum vloženia: 19. 12. 2025 11:03
Dátum poslednej aktualizácie: 19. 12. 2025 11:04

Novinky

Dokument k 760. výročiu prvej písomnej zmienky o obci

Aktuálne počasie

dnes, streda 18. 2. 2026
sneženie 0 °C -3 °C
sneženie, dosť čerstvý západný vietor
vietorZ, 6.11m/s
tlak1010hPa
vlhkosť73%
sneženie4.89mm

Fotogaléria

Náhodná fotogaléria

Návštevnosť

Návštevnosť:

ONLINE:0
DNES:68
TÝŽDEŇ:246
CELKOM:430525

Zaujímavé informácie

Mobilná aplikácia

Sledujte informácie z nášho webu v mobilnej aplikácii - V OBRAZE.

Kalendár

Február2026
Po Ut St Št Pia So Ne
26 27 28 29 30 31 1
2 3 4 5 6 7 8
9 10 11 12 13 14 15
16 17 18 19 20 21 22
23 24 25 26 27 28 1

Geoportál obce

geoportál obce

Virtuálny cintorín

Kontakt

Obecný úrad
Lednica 232
020 63 Lednica

tel.: 042/46 97 045
email: lednica@obeclednica.sk